Non-Periodic Phenomena in Variable Stars 

                                             IAU Colloquium, Budapest, 1968


          PHOTOELECTRIC RESEARCH ON FLARE STARS AT THE CATANIA 
                     ASTROPHYSICAL OBSERVATORY

          S. CRISTALDI, G. GODOLI, M. NARBONE and M. RODONO
              Catania Astrophysical Observatory, Italy 


                            SUMMARY

   In this paper the results recently obtained at Catania from the observations 
of the flare stars PZ Mon, YZ CMi, AD Leo, BD +55 1823, BD +51 2402 
and EV Lac are summarized.


                          INTRODUCTION

   In 1967 systematic photoelectric observations of flare stars were started 
at the Catania Astrophysical Observatory.
   These observations have been carried out in the course of the Catania 
research programme on stellar activity of the solar type (Godoli, 1967, 1968).
   Some results have already been published (Cristaldi, Rodono, 1968a; 
1968b; Cristaldi, Narbone, Rodono, 1968; Godoli, 1968). Here the 
observations and the results obtained until August 15, 1968 will be summarized.


                          OBSERVATIONS

   At Catania four main instruments are available for stellar work 
(Fracastoro, 1967).
   1. A Newtonian-Cassegrain reflector of 91 cm aperture, 400 cm and 
1400 cm focal length respectively.
   2. A Schmidt quasi-Cassegrain universal reflector (41 cm aperture and 
119 cm focal length in the Schmidt combination, 61 cm aperture and 600 cm 
focal length in the quasi-Cassegrain combination).
   3. Two Cassegrain telescopes of 31 cm aperture and 500 cm focal length,
which we discriminate by their position (N or S) in their common dome.
   All these instruments are equipped for photoelectric observations with
EMI 6256 photomultiplier tubes.
   The characteristics of the stars observed, the instruments and the filters 
used are reported in Table 1.
   For the study of the physics of the flares it is very important to carry 
out three-colour photometry which due to the abrupt nature of the phenomena 
is not feasible with traditional photometers. For this reason at Catania 
a suitable photometer for simultaneous multi-colour photometry has recently 
been completed (Cristaldi, Paterno, 1968a; 1968b). By this new apparatus 
and the universal reflector used in the quasi-Cassegrain combination 
observations of EV Lac and BD +55 1823 have recently been carried out.
   The star YZ CMi was observed on occasion of an international optical 
and radio flare patrol programme organized by Prof. Chugainov and Prof. Lovell 
in two observing periods: January 22-February 6 and February 21-March 7, 1968.


                             Table 1

Characteristics of the observed flare stars (August, 1968) and instruments 
and filters used


               Coordinates (1950.0)                  Instrument
Flare star                                 m_v   Sp.             Filters  lambda equ.
                R. A.           D.                  (cm aperture)


PZ Mon         06h 43.2m   +01deg 13'    9.5m  K2e      30N      V      5150 A
YZ CMi         07h 39.5m   +03deg 48'   11.6m  M4.5e    91       B      4300
AD Leo         10h 14.2m   +20deg 22'    9.5m  M4e      91       V      5150
BD+55 1823     16h 14.9m   +55deg 32'   10.1m  M1.5e    30S      V      5150
BD+55 1823                                              61      B V   4300,5150
BD+51 2402     18h 31.6m   +51deg 39'    8.3m  K6e      30S      V      5150 
BD+51 2402                                              30N      V      5150 
EV Lac         22h 42.6m   +43deg 49'   10.2m  M4.5e    30S      V      5150 
EV Lac                                                   61     B V   4300,5150
EV Lac                                                   91      V      5150 




                             Table2

                          Comparison stars.


                                           Comparison star
              Flare star
                                     Star           m_v     Sp.


           PZ Mon                BD + 1 1495        9.2     K
           YZ CMi                     -                     -
           AD Leo                BD +20 2475        9.0     K
           BD +55deg 1823        BD +55 1834        9.0     K
           BD +51deg 2402        BD +51 2410        7.7     K2
           EV Lac                BD +42 4527        8.6     M




     As we were interested not only in the light curves of flares themselves 
but also in the brightness fluctuations at minimum, sky and comparison stars 
measurements have been performed about every 20 minutes. The comparison 
stars are listed in Table 2.
     The observations (m_v - m_c) versus JD_hel are corrected for atmospheric 
extinction using a statistically determined mean absorption coefficient. Also
log I_flare/I_normal versus Universal Time are considered for the periods in 
which flares occur. The data are reduced by the IBM 1620 computer of the 
Science Faculty of Catania University.


                             RESULTS

     The duration of patrolling in hours, the number and the characteristics
of the flares observed for each star are given in Table 3.
     Up to now (August 15, 1968) during about 278 hours of the flare patrol
programme 12 flares have been observed.


                             Table 3


                Flares observed until August 15, 1968.


                                                            Flare     observed
           Hours of Number of
Flare star patrol   flares for                  Delta m  rise    total
           (August  100 hours   Epoch of max.   (magn.)  time   duration   rise speed
           15, 1968)                                   (minutes)(minutes) (magn/sec)
                                                                        

PZ Mon       38.2h    2.6    67/09/21   03h 40m  0.11m   0.7m    1.7m      0.003
YZ CMi       16.5h   24.2    68/02/26   21h 26m  0.24m   0.9m    7.2m      0.004
                             68/02/26   22h 26m  0.35m    ?       ?         ?
                             68/03/01   20h 00m  0.62m   1.4m     ?        0.007
                             68/03/03   20h 01m  0.23m   1.4m   23.3m      0.003
AD Leo       36.3h    5.5    68/03/04   02h 27m  0.08m   0.4m   10.0m      0.003
                             68/04/24   19h 28m  0.46m   1.4m   22.0m      0.005
BD +55 1823  25.2h    0.0
BD +51 2402  96.9h    1.0    67/07/25   01h 59m  0.07m   5.0m   12.2m      0.001
EV Lac       64.5h    6.2    67/09/27   22h 08m  0.14m   0.6m    5.5m      0.004
                                                 0.16m                   (first rise)
                             67/09/30   00h 27m  0.32m   0.6m    7.5m      0.009
                             67/12/29   19h 19m  0.92m   1.3m    6.7m      0.012
                             68/07/21   02h 24m  1.06(V) 0.5m   22.0m      0.035
                                        02h 24m  1.12(B) 0.7m     ?        0.027


    TOTAL   277.6h    4.3





  The light curves of the observed flares are plotted in Figs. 1-3. In Fig. 4 
the simultaneous B and V measurements of the EV Lac flare observed on July 
21, 1968 are plotted together with the (B-V) colour indices. The star appears 
bluer just before the flare maximum. A strong reddening of 0.5m took place 
during the decreasing phase.
  We should notice that the two stars PZ Mon and BD +51 2402 of relatively 
early type were less active than the normal M type flare stars. The 
most rewarding stars have been YZ CMi and EV Lac. Naturally it is not 
possible to draw a decisive conclusion on this matter from our data alone.
  We notice that the first observed flare of EV Lac shows two peaks. The 
structure of this flare recalls the existence of the symphathetic solar flares.
  From the light curves of the flares one can see that often before a flare 
starts, the star's brightness decreases gradually or abruptly by the order of 
0.01m. This light variation appears to be clearly beyond the range of error.
  For EV Lac, brightness fluctuations at minimum of light have been observed. 
These fluctuations have an amplitude of about 0.1m and seem to be cyclic, 
although we cannot give a definite period because of the discontinuity 
in the observations. It is of interest pointing out that all the observed 
flares of EV Lac took place during the minima of these fluctuations.
  Also for BD +51 2402 small brightness fluctuations, which in this case 
seem to be not periodical, have been found at the minimum.
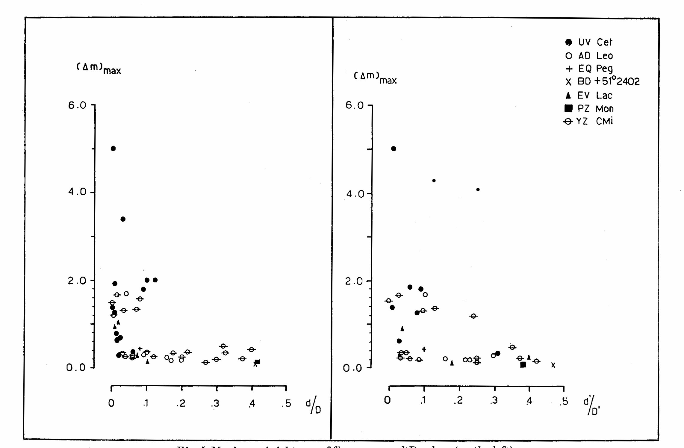
  In Fig. 5 for each flare the maximum intensity versus the ratio d/D has been 
plotted, where d indicates the rising time and D indicates the total duration 
of a flare. Catania and other observations have been used. It is evident that 
the ratio d/D is smaller for larger flares.
  One might suppose that this ratio is overestimated for flares of small 
intensity, D in this case being underestimated. In order to avoid this criticism,
in Fig. 5. (on the right) the ratio d'/D' has been plotted, where the durations 
now refer to the part of the flares with log I_f/I_n >= 20% (I_f/I_n)_ max. 
Also in this case the relationship is confirmed.




    Fig. 1. Light curves of the four flares of YZ CMi observed at Catania.




    Fig. 2. Light curves for flares of AD Leo, PZ Mon, BD + 51 2402 
            observed at Catania.




    Fig. 3. Light curves for three flares of EV Lac observed at Catania.




    Fig. 4. B and V light curves for flare No. 4 of EV Lac.




    Fig. 5. Maximum brightness of flares versus d/D values (on the left).
            Maximum brightness of flares versus d'/D' values (on the right).


                       Notes

    1. The photoelectric data of each night are too numerous to be published 
in this paper. The interested researchers may have a copy by request directly 
from the authors.
    2. The individual observations will be sent to the IAU Comm. 27 depository 
of unpublished photoelectric observations of variable stars as recommended 
in IAU Transactions XIII A, p. 510.


                     REFERENCES

Cristaldi, S., Paterno, L., 1968a, Mem. Soc. astr. ital., 39. 
Cristaldi, S., Paterno, L., 1968b, These Proceedings.
Cristaldi, S., Rodono, M., 1968a, Comm. 27 of IAU, Inf. Bull. Var. Stars No. 252.(IBVS N°.252)
Cristaldi, S., Rodono, M., 1968b, Comm. 27 of IAU, Inf. Bull. Var. Stars No. 274.(IBVS N°.274)
Cristaldi, S., Narbone, M., Rodono, M., 1968, Mem. Soc. astr. ital., 39, 339. 
Fracastoro, M. G., 1967, Oss. astrofis. Catania, Pubbl. No. 107. 
Godoli, G., 1967, Oss. astrofis. Catania, Pubbl. No. 115.
Godoli, G., 1968, in "Mass Motion in Solar Flares and Related Phenomena" IX Nobel
    Symposium, Anacapri.


                      COMMENT

Wood: I am much interested in the light fluctuations shown just before some 
     of the flares. In observing SX Phe - quite a different type of variable 
     but one which also shows a rapid increase of brightness - it was found 
     that on the one night quite similar fluctuations appeared just before 
     the increase. This was the only night observation made in this particular 
     region, and I have never known whether or not to believe that the 
     fluctuations were really in the star, although the observing conditions 
     were excellent. If flare stars show such changes preceding the outbursts, 
     it seems more likely that other stars showing sudden increases may do 
     the same. This suggests that in stars such as SX Phe, where the intervals 
     between maxima are predictable, observers should concentrate on the 
     interval just preceding the beginning of the rise to maximum.