Non-Periodic Phenomena in Variable Stars 
                                IAU Colloquium, Budapest, 1968




        TIDAL RESONANCES IN SOME PULSATION MODES OF THE BETA 
                CANIS MAJORIS STAR 16 LACERTAE 

                       W. S. FITCH
           Steward Observatory, Tucson, Arizona, USA


  Analyses by Fitch (1967) of the published observational data on the delta 
Scuti star CC Andromedae and the beta Canis Majoris star sigma Scorpii led to 
the suggestion that the often observed presence of multiple periodicities in 
these kinds of stars should be attributed to the influence on the normal 
pulsation mode of structural changes produced in the outer layers of the 
pulsating primary by tidal perturbations due to a faint companion. This 
suggestion is further supported by Preston's (1966) announcement at the 3rd 
Variable Star Colloquium that the delta Scuti star delta Delphini is a 
double-line spectroscopic binary.
  In a continuation of work on this problem the beta Canis Majoris star 
16 Lacertae, whose intrinsic variability was discovered by Walker (1951). 
was selected because very extensive observational material had been published. 
This star was announced by Struve and Bobrovnikoff (1925) as a single-line 
spectroscopic binary with a period of 12.3106 days, but the observations here 
analysed are the radial velocity measures obtained on 26 nights in 1951 by 
Struve, McNamara, Kraft, Kung, and Williams (1952), together with the 
data contained in the radial velocity and blue light curves published by Walker 
(1951, 1952, 1954). Because the original lists of the photoelectric measures 
have been lost (Walker 1967), it was necessary to read the observations from 
photographic enlargements of the published light curves, and it is expected that
these measures, which are consequently less accurate than the originals, will 
be made available to interested workers by inclusion in the IAU (27). RAS. 
file of the Royal Astronomical Society Library. All of Walker's blue magnitude 
measures (7 nights in 1950, 13 nights in 1951, and 10 nights in 1952) were 
employed, except that the two nights of 16 and 17 August 1951 were never 
included because of the very low signal-to-noise ratio evident in the light 
curves for these nights. A single velocity curve published by Walker (1954) 
was read in the same fashion and included in the velocity analysis, but a second
velocity curve which Walker (1951) published was inadvertently skipped.
  A preliminary periodogram analysis (Wehlau and Leung 1964; Fitch 1967) 
confirmed the primary period reported by previous workers, and a frequency of 
5.9113 cycles day (c/d) with a corresponding period of 0.169168 day was adopted 
as best fitting these observation. With this frequency the light and/or velocity
measures on each night were individually fitted by least squares to obtain the 
amplitude, phase, and mean value best representing a sinusoidal variation on 
each night. The nightly velocity means were then fitted by least squares in 
our spectroscopic binary program to yield these orbital elements with their 
probable errors:



   P     = 12.079 +- 0.005 days        e         = 0.012 +- 0.02
   T_0   = JD 2433872 +- 2.6 days      omega     = 121 deg +- 79 deg
   gamma = -13.0 +- 0.6 km/sec         f(M)      = 0.0147 M_hel
   K_1   = 22.7 +- 0.4 km/sec          a_1 sin i = 3.77 X 10^6 km
The corresponding velocity curve is shown in Figure 1.




Fig. 1. The orbital radial velocity variation of the primary component of 16 Lacertae.
The plotted points are mean velocity measures for individual nights and the full curve
                      is the computed solution.


  The nightly luminosity means vary strongly in an apparently erratic 
fashion which we were unable to correlate with the orbital motion, and since 
the comparison star 14 Lacertae has been reported to be variable (Walker 
1952, 1953), it was necessary to attribute these variations in the mean light 
level to 14 Lacertae and to compensate for them by applying night corrections 
deduced from the mean values of the luminosity ratio. This arbitrary correction 
procedure automatically precludes the possibility of finding any light variation
which depends solely on the orbital motion.
  When the velocity and light measures had been freed of the principal 
slow variations by means of the known orbital motion (here represented as 
a sinusoidal velocity variation with frequency n_0 = 0.08279 c/d) and the 
night corrections, respectively, further periodogram analysis disclosed the 
existence of two more periodic variations (frequencies n_2 = 5.8529 and n_3 = 
= 5.4998 c/d, in addition to the primary frequency n_1 = 5.9113 c/d) in both 
the light and velocity observations. The three photometric observing seasons 
were from J.D. 2433504 to 2433536, 2433870 to 2433926, and 2434231 to 
2434242, while we have divided the principal velocity observing season in 
two halves running from 2433869 to 2433926 and 2433937 to 2433967. The 
principal data relating to these variations is summarized in Tables 1 and 2, 
in which it is seen that the velocity-to-light amplitude ratio is much larger 
for n_1 than for n_2 and n_3 (about 6.0, 3.0, and 1.5 km/sec percent mean light,
respectively), and also that the amplitude of n_3 varies strongly and apparently
concordantly in both light and velocity measures. The former observation 
is illustrated by Figures 2 and 3, which show from the results of fitting to 
simultaneous light and velocity measures obtained on 11 nights that both 
amplitude and phase perturbations of the primary pulsation are much stronger 
in light than in velocity, while the latter conclusion suggests the possibility 
of long period interference effects arising from a close frequency doublet. 
Since the annual cycle count is uncertain due to the very short photometric 
observing seasons, the pulsation frequencies derived by periodogram analysis
could be in error by one cycle per year = 0.0027 c/d, though they are otherwise 
accurate to +-0.0002 c/d or better. A proper change of 0.0027 c/d in n_2 and 
in n_3 would in each case produce a nearly perfect tidal resonance, so exact 
resonances were assumed and subsequent periodogram analysis disclosed the 
existence in the light and velocity variations of the corresponding doublet 
components of frequencies n_2 and n_3, as shown in Table 3.





                                            Table 1

                              Blue Light Variation of 16 Lacertae

        Frequency      Blue Light Range (%)     Phase Zero Point (Periods)   M. E.

  Year              5.9113  5.8529  5.4998   5.9113    5.8529     5.4998    of 1 obs. No. of Obs.


                                                                
   1950 ...........    4.8     2.3    3.1     0.590     0.281      0.565      1.6        242
   1951 ...........    4.6     2.4    0.3     0.617     0.242      0.567      0.7        473
   1952                4.5     2.5    2.7     0.618     0.225      0.550      0.8        452
   1950, 1952          4.5     2.5    2.7     0.611     0.231      0.560      1.1        694
   1950, 51, 52        4.7     2.4    1.9     0.612     0.235      0.560      1.0       1167






                                            Table 2

                               Velocity Variation of 16 Lacertae

        Frequency      Velocity Range (km/sec)      Phase Zero Point (Periods)   M. E.
  Year              5.9113  5.8529  5.4998   5.9113    5.8529     5.4998    of 1 obs. No. of Obs.



   1951-1st 1/2        27.5    6.8    0.8     0.857     0.503      0.895      3.5        234
   1951-2nd 1/2        29.3    7.2    4.1     0.852     0.548      0.864      3.5        208
   All 1951            28.3    6.9    2.2     0.854     0.516      0.876      3.6        442
   1951, 1952          28.6    7.2    2.3     0.855     0.514      0.885      3.6        456




Fig. 2. A comparison of the variations  
in radial velocity and blue light ranges  
of the primary pulsation, as determined  
by simultaneous observations on 11 nights. 
Extrapolations of the straight lines bounding 
the observed region do not enclose the origin.




Fig. 3. A comparison of the variations in radial 
velocity and blue light of the primary pulsation's 
phase zero point, as determined by simultaneous 
observations on 11 nights. The straight line was
drawn with slope 1/2.
                 



                            Table 3. 

                   Adopted Solution for 16 Lacertae



 Frequency   Description       Half Range       Phase Zero Point
  (c/d)                     (km/sec) (% light)   R. V.    Light

 5.9177        n_3 + 5n_0      0.3      0.26     0.11     0.41
 5.9113        n_1            14.4      2.41     0.85     0.63
 5.9048        n_2 + 2/3n_0    0.8      0.24     0.06     0.89
 5.8561        n_1 - 2/3n_0    2.9      0.70     0.56     0.42
 5.8496        n_2             2.2      0.76     0.57     0.20
 5.5037        n_3             1.0      0.82     0.23     0.79
 5.4973        n_1 - 5n_0      0.9      0.83     0.16     0.60
 0.08279       n_0            22.9               0.88
 0.1656       2n_0             0.7               0.21
 0.2484       3n_0             0.5               0.39
 0.3312       4n_0             1.2               0.08


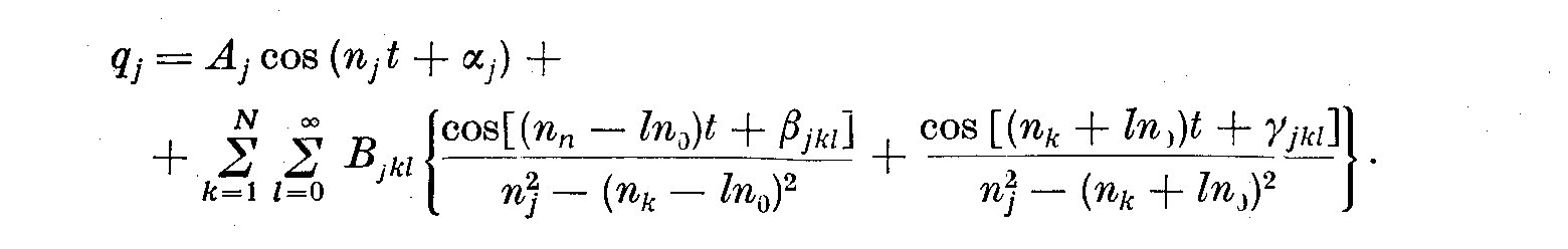
  To explain this result, we consider a system of N coupled linear oscillators,
in which the state of the k^th oscillator (of natural frequency n_k) is specified 
by the generalized coordinate q_k, and on which an external periodic force F 
of frequency n_0 (where n_0 << n_k) acts. We assume we can expand each 
component of F in a Fourier series harmonic in n_0, so that, neglecting both 
the direct response of the system to the imposed force F and non-linear terms 
in the coordinates q_k, we have


      (1) 
            

where


      (2)


It is easily shown that the periodic solutions of these equations, complete to 
the second order, may be written in the form


      (3)


Thus the solution will contain both the natural frequencies n_k and also the 
combination terms n_k +- ln_0 but of the latter the most important are likely 
to be those (if any) for which a near resonance exists (i.e. [n_k +- ln_0]^2 ~~n^2_j). 
Of course, terms with the forcing frequencies ln_0 which were neglected in
equations (1), will also exist. Our foregoing argument for the resonance case 
requires, strictly speaking, that l be integer, but as is well known, resonance 
often occurs when l is rational, provided it is the quotient of two small integers 
(e.g. the Kirkwood gaps and the Hilda group in the case of the asteroids). In 
the present case, with P_0 as the orbital period in a nearly (or perhaps exactly) 
circular orbit, the tidal perturbations are nearly the same at intervals of
1/2 P_0, P_0 and 3/2 P_0, so that the strongest perturbing frequencies should be
2n_0, n_0, and 2/3 n_0.
  Since the two resonance pairs of difference frequencies (n_2, n_1 - 2/3 n_0) 
and (n_3, n_1 - 5n_0) had been observed, in accordance with the preceding analysis 
the corresponding sum frequencies n_2 + 2/3 n_0 and n_3 + 5 n_0 were included 
in the least squares fitting for the adopted solution displayed in Table 3. 
That these sum terms are of very small amplitude (and perhaps not present) 
is not surprising, since they arise from tidal action on the very weak terms 
n_2 and n_3, whereas the difference terms here originate in the action of F on n_1. 
The ordinary, non-resonant combination terms n_1 +- ln_0, were also included 
in a fitting with l = 1, 2, and 3, and are probably present but are of too small
amplitude to be significant. We note that n_3 - (n_1 - 5n_0) = +0.0064 c/d and
n_2 - (n_1- 2/3 n_0) = -0.0065 c/d, with errors probably not exceeding
+- 0.0002 c/d, so that the detuning effect on the primary frequency n_1 is almost 
exactly cancelled by the opposing actions of the two resonance terms.
  In figures 4, 5 and 6 we illustrate the agreement between the adopted 
radial velocity solution and the observations, and in figures 7, 8 and 9 the 
same comparison is made for the light variation. For the velocities only on
the first night does the solution appear unsatisfactory, and it was just this 
night that showed the large residual on the radial velocity curve. The representation 
of the observed light variation appears generally satisfactory except for the 
last night in the first (1950) observing season. But since the signalto-noise 
ratio for this first season is much lower than in 1951 and 1952, it is not 
certain that the discrepancies here are significant.




Fig. 4. A comparison of the observed (crosses) and computed (full curve) radial 
        velocity variation of 16 Lacertae.




                          Fig. 5. Cont. of Fig. 4




                          Fig. 6. Cont. of Figs. 4 and 5




Fig. 7. A comparison of the observed (crosses) and computed (full curve)
        blue lightvariation of 16 Lacertae.




                          Fig. 8. Cont. of Fig. 7




                      Fig. 9. Cont. of Figs. 7 and 8


  It seems most likely that the beta Canis Majoris variation arises in rotating 
stars caused to pulsate by a relatively short-lived instability associated with 
core hydrogen exhaustion (Schmalberger 1960, Stothers 1965), and in order 
to explain the spectral complexities observed during the pulsation cycle 
(Huang and Struve 1955), it appears sufficient (Christy 1967) to identify the 
primary pulsation with a P_2 non-radial mode (Ledoux 1951). Further, this 
identification is consistent with theoretical expectation since in a star with 
a significant rotation velocity a purely radial pulsation mode could probably 
not exist (Chandrasekhar and Lebovitz 1962). In sigma Scorpii the modulation 
of the primary pulsation has been shown to be associated with the orbital motion 
in the binary system (van Hoof 1966, Fitch 1967), and the present results on 
16 Lacertae indicate that here the n_2 and n_3 variations are non-radial modes 
selectively excited by tidal resonances from the extremely numerous set of 
possible rotational velocity dependent non-radial modes (Cowling and Newing 1949), 
the rest of which are too highly damped to be significantly excited. We believe 
that similar mechanisms of resonant and/or non-resonant tidal modulation 
(cf. eqs. [1], [2], and [3]) exist in all other beta Canis Majoris and delta Scuti 
stars that exhibit variable light or velocity curves (e.g. nu Andromedae, 
sigma Scorpii, and CC Andromedae [Fitch 1967]), and we suggest the possibility 
that the same cause also produces the long period modulation commonly observed 
in RR Lyrae stars.



                              REFERENCES

Chandrasekhar, S., and Lebovitz, N. R., 1962, Astrophys. J., 136, 1105.
Christy, R. F., 1967, Astr. J., 72, 293.
Cowling, T. G. and Newing, R. A., 1949, Astrophys. J. 109, 149. 
Fitch, W. S., 1967, Astrophys. J., 148, 481. 
Hoof, A. van, 1966, Z. Astrophys., 64, 165.
Huang, S. S, and Struve, 0., 1955, Astrophys. J., 122, 103. 
Ledoux, P., 1951, Astrophys. J., 114, 373.
Preston, G. W., 1966, Kleine Veröff. Remeis-Sternw. Bamberg, No. 40, p. 163. 
Schmalberger, D. C., 1960, Astrophys. J., 132, 591. 
Stothers, R., 1965, Astrophys. J., 141, 671.
Struve, O. and Bobrovnikoff, N. T., 1925, Astrophys. J., 62, 139.
Struve, 0., McNamara, D. H., Kraft, R. F., Kung, S. M, and Williams, A. D., 1952,
       Astrophys. J., 116, 81.
Walker, M. F., 1951, Publ. astr. Soc. Pacific, 63, 35. 
Walker, M. F., 1952, Astrophys. J., 116, 106. 
Walker, M. F., 1953, Astrophys. J., 118, 481.
Walker, M. F., 1954, Astrophys. J., 120, 58. 
Walker, M. F., 1967, (private communication).
Wehlau, W, and Leung, K. C., 1964, Astrophys. J., 139, 843.



                   DISCUSSION

Detre: Is the pulsation excited, or only influenced by the companion?
Fitch: No, the primary pulsation is not excited but only influenced by the 
       companion. It is caused by the evolution of the star carrying it into 
       either the beta Canis Majoris or Cepheid instability strip. However, 
       in 16 Lacertae it appears that two very weak pulsation modes which would 
       otherwise be changed out are excited by tidal resonances with the primary 
       pulsation.
Detre: Have beta CMa stars and delta Scuti stars erratic O-C diagrams, or smooth 
       ones? According to my opinion there may be some difference in the 
       behaviour of RR Lyrae variables and beta CMa stars, the former ones having 
       more erratic 0-C diagrams. Further, RR Lyrae stars with secondary 
       period have smaller amplitudes than RR Lyrae stars having stable lightcurve. 
       There is no such difference in the amplitudes of delta Sct stars and 
       dwarf Cepheids.
Fitch: As you have shown, the O-C diagrams of the RR Lyrae stars are quite 
       erratic, while so far as I am aware, the delta Scuti and beta Canis Majoris 
       stars have smooth O-C curves. However, this is not at all surprising, since 
       the beta Canis Majoris and delta Scuti stars are all very small amplitude 
       pulsators with behaviour probably governed by the linear wave equation 
       (they all have nearly sinusoidal, small amplitude variations), whereas 
       the RR Lyrae star pulsation is, as Christy has shown, governed by an 
       extremely non-linear set of equations. Therefore the amplitude, shape, 
       and frequency of an RR Lyrae star's pulsation must be very sensitively 
       determined by conditions in the outer layers of the star, and whenever 
       these layers are very slightly disturbed by evolutionary readjustment 
       (and perhaps also by the tides induced by a companion) the observed 
       pulsation characteristics must change - hence the erratic O-C behaviour 
       due to evolution and, perhaps, the long period modulation due to tides. 
       With regard to the dwarf Cepheid or AI Velorum stars, I know of none 
       that show long period modulation, though many have two pulsation 
       modes, simultaneously excited so that they show a very short period 
       beat. With regard to the small pulsation amplitude of RR Lyrae stars 
       having secondary periods, I think that probably when tides are present 
       the amplitude and phase of the normally radial pulsation vary in tidal 
       zones over the surface of the star, so that when the integrated light is 
       observed both light and velocity amplitudes will appear smaller than in 
       the normal case with no tides present.


                      Correction on March 7, 1969

  I prepared for publication a paper which included an expanded version 
of my Budapest lecture on 16 Lacertae, as well as an analysis of beta Cephei, 
and then learned I'd overlooked some velocity measures of 16 Lacertae published 
by Mc Namara. The addition of the new data and a more careful examination 
of the errors involved has shown that only one of the two weak pulsation 
modes has its apparently excitation due to tidal resonance, and that the other 
is apparently excited by rotational coupling. This does not distress me, for 
the original data used were consistent with my (erroneous) interpretation, and 
the changes will be duly published.
  However, in the course of this work I've re-calculated the orbital elements 
with a new program we developed here, and found that there was an error in the 
original program which we had copied from one then under development at 
Kitt Peak National Observatory. I assume they now have a correct version, but 
in the one we used a mistake had been made in programming the calculation of 
phase from periastron for orbits of small eccentricity, with the result 
that in my Figure 1 all phases are in error by 0.5 period.