Non-Periodic Phenomena in Variable Stars
                                      IAU Colloquium, Budapest, 1968


           ANALYSE DES COURBES DE LUMIERE DES ETOILES DU TYPE
                              U GEMINORUM

                              MICHEL PETIT


  Depuis 1963, j'ai cherche, en collaboration avec Mr Leon Menager, a 
analyser les courbes de lumiere de plusieurs etoiles du type U Geminorum 
suffisamment observees. De nombreux resultats ont ete publies, ou le 
seront ulterieurement. Nous n'envisageons ici que les methodes 
applicables a l'etude des liaisons et a l'analyse chronologique des 
courbes de lumiere. Les resultats concernant la classification des 
maxima et l'etude statistique des criteres de classification seront 
publies par ailleurs.


                              ETUDE DES CORRELATIONS

  Rappelons brievement le principe de la methode du calcul des 
correlations pouvant exister entre deux donnees, par exemple entre deux 
elements de la courbe de lumiere.
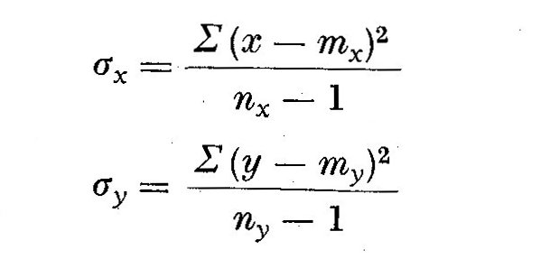
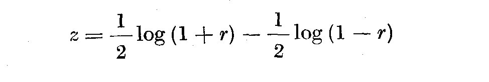
  Soient n donnees de la variable xi et n' donnees de la variable yi ; 
on nomme mx et my leurs moyennes. Le coefficient de correlation r se 
definit comme suit:





ou xi - mx et yi - my sont les ecarts par rapport aux moyennes mx et my .
Les ecarts-types se definissent par:





On peut demontrer que

                            -1 < = r < = +1

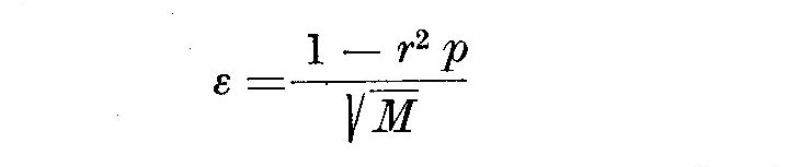
Pour juger de la valeur d'une correlation, on peut calculer l'ecart a la 
valeur vraie:





et considerer que la correlation est bonne, on pas, selon des valeurs 
arbitraires de epsilon. Nous avons prefere uliliser la methode du 
coefficient de Pearson. Il s'ecrit:





  L'ecart reduit ti se calcule par la methode des chi2, t2i correspondant aux
differences Sigma(xi - xth)2.
  Dans le cas d'une fausse liaison, on a t2 = 0, aux fluctuations aleatoires 
pres, et la distribution est la meme que celle des chi2. Comme t n'est pas 
lie a la moyenne des zi il est possible d'apprecier la signification d'un 
groupe de correlation.
Menager et moi-meme avons calcule des coefficients de correlation entre 
la magnitude, au maximum et au minimum, la largeur (1) des maxima et des 
minima et deux autres donnees:

 - l'energie totale E, calculee en prenant pour unite l'energie degagee 
en un jour au minimum d'eclat (et exprimee en intensite lumineuse)





 - la vitesse de croissance de l'eclat pendant la montee au maximum





  Le tableau suivant resume l'analyse faite pour quelques correlations 
(n est le nombre d'etoiles etudiees)


Correlations	n      chi2	  p(chi2 > chi02)	Valeur

1 max-V		9	8,23	         0,50	        faible
1 max-E		9      84,79		<0,01	        bonne
E-V		9      22,86		 0,06	        moyenne
1 max-mv max   15      74,04	       <=0,001	        bonne
1 min-mv min	5      24,52	         0,04	        moyenne


  La liaison entre 1 min t mv min, signalee par Campbell (1933) sur 
SS Cygni, confirmee par Martel (1961) a ete retrouvee par l'auteur sur cinq 
autres etoiles observees au minimum. Sa valeur moyenne, relativement 
faible, est probablement due a l'incertitude des observations utilisees.


                  ANALYSE DES SUITES DE MAXIMA

Soient mx et my les valeurs moyennes des intervalles et des largeurs 
des maxima, nx et nx le nombre des echantillons, sigmax t sigmay les 
dispersions correspondantes. Si ces valeurs sont distribuees au hasard, 
nous aurons, puisque les moyennes sorit independantes:

                     mx - my = 0

L'ecart reduit t vaut:





ou S, degre de liberte totale, s'exprime par




Les ecarts-types sont





  On demontre ainsi que les families dc maxima se groupent en deux 
classes, selon les valeurs de t, l'une comprenant les maxima d'ordre 
court (C ou SC), l'autre les maxima d'ordre long (L ou SL).*

 -----------------------------------------------------------------
 * La classification adoptee par l'auteur, tres proche de celle etablie 
 par Mme Lortet-Zuckermann (1961), (1964) est la suivante:

                  maxima normaux longs           L 
                  maxima normaux courts          C 
                  maxima symetriques longs       SL 
                  maxima symetriques courts      SC 
                  maxima faibles 	        F
 -----------------------------------------------------------------

  Appelons evenement A les maxima d'ordre court, et B les maxima d'ordre 
long des observations fournissent de A t B disposees comme la suivante:


           3A  5A  2A  1A  3A      etc...
             1B  1B  2B  1B  1B

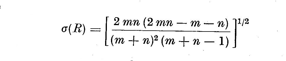
  Soit une serie chronologique comprenant m fois A et n fois B. Cet ensemble 
peut etre considere comme une suite de tirages independants d'elements 
distincts. Un schema d'urne montre que le nombre de variations d'une 
teile suite est une variable aleatoire de moyenne Rth, dans le cas 
d'une variable gaussienne, telle que:





de variance





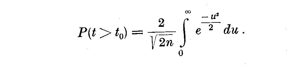
    L'ecart reduit t, qui suit la loi de Gauss, s'ecrit:





Si la serie est aleatoire, la probabilite de trouver t > t, s'ecrit:





Une telle analyse a ete faite pour six etoiles (tableau suivant); 
Lorsque est positif, les evenements A et B ont tendance a se grouper, 
quand t este negativ, ils ont tendance a alterner


Etoiles	  R_0	sigma(R)     t	  P(t>t0)	Auteur

SS Aur	  32,1	  3,3      -3,7	  0,0001	Menager
Z Cam	  23	  2,4	    4,1	  0,00002	Menager
U Gem	  53,2	  5,5	    3,3	  0,0001	Petit
VW Hyi	  42,9	  4,1	    2,6	  0,009	        Menager
CN Ori	  97	  8,5	    3,2	  0,0001	Petit
TZ Per	  45	  4,1	    3,6	  0,0001	Petit


  La meme methode permet de mettre en evidence la tendance au groupement 
des maxima symetriques, des maxima faibles des oscillations (Lortet, 
1964) et d'autres epoques erratiques.
  Cette methode a ete aussi utilisee pour l'etude des variations non 
normales de deux etoiles du groupe Z Camelopardalis; noun appelons 
evenement A les suites variations normales-variations erratiques, 
evenement B les suites variations normales-paliers. On obtient:


           R_0     sigma(R)      t    P(t0 > t0)

Z Cam      13,4       1,9       3,9     0,0001   
TZ Per     23,5       3,4       3,3     0,001


  Menager et Petit (5) ont montre, pour VW Hyi, que pour les series de 
maxima d'ordre court, les largeurs des minima sont d'autant plus petites que 
le nombre de maxima courts successifs est plus eleve. J'ai verifie ser une 
douzaine d'etoiles que ce phenomene existe dans tous les cas. Il semble 
done que, lorsque des maxima d'ordre courts se surcedent, leur processus 
de formation a tendance a s'accelerer. L'etude approfondie de ce 
phenomene reste a faire, mais on note que les distributions de mv max, l 
max et E sont sensiblement les memes pour les maxima d'ordre C alternes 
avec des maxima d'ordre L et pour des maxima C formant une serie.


         ANALYSE CHRONOLOGIQUE DES VARIATIONS LUMINEUSES

       Nous avons utilise quatre methodes d'etude, que voici:

1. Les chaines de Markov

  Considerons une suite chronologique d'etats E, observes a des instants
t, tels que l'on ait E(i1, t1), E(i2, t2) ... E(in, tn) ou i = 1, 2, ... n. 
Par definition, une telle suite obeit a une chaine de Markov simple si, quels que soient 
n et j, la probabilite d'observer un etat donne E(j) a l'instant tn + 1 ne depend 
que de l'etat precedent E (in, tn) et non pas des etats anterieurs.

  L'observation permet d'etablir une matrice carree d'ordre r, dite matrice 
de transition |PK| 
  La probabilite P[E(j,tn+1)/E(in, tn)] est appelee probabilite de 
transition en une epreuve. Elle est representee par une matrice [P1](ou k = 1).
  On peut aussi calculer des matrices de transition en p epreuves, pour 
lesquelles:

           P[E(j, tn+1)/E(i, tn-p+1)] = [P1]pj

  Dans la pratique on calcule des matrices de transition en deux et trois 
epreuves, [P2] et [P3] et on les compare avee le carre et le cube de la 
matrice [P1] observee.
Si l'on a:
                   [P1]2~=[P2]
                   [P1]2~=[P3]

(relation de Chapman-Kolmogorov) c'est que les maxima evoluent suivant 
une chaine de Markov simple: la nature d'un maximum depend alors du maximum 
precedent et seulement de celui-ci.
Martel (1961) avait signale que c'est le cas de SS Cygni, mais Mme Lortet 
(1964, 1966) appliquant divers tests sur le caractere aleatoire d'une serie de 
deux ou trois parametres, arrive aux conclusions suivantes:
- la succession des maxima de caractere long et non-long est assez 
bien representee par une chaine de Markov d'ordre 1, mais notons que SS Cygni 
a une nette tendance a l'alternance reguliere des deux types, ce qui 
n'est pas le cas de toutes les etoiles que nous avons etudie.
- la succession des maxima faibles (F) et non faibles peut se representer 
par une chaine de Markov d'ordre 2.
- un schema markovien d'ordre 1, 2 ou plus n'explique pas l'existance 
des series de maxima courts, ou des periodes erratiques, riches en variations 
irregulieres.
  Mme Lortet a donc propose un schema d'evenement recurrent ou les structures 
successives sont independantes, ont chacune une certaine probabilite, et 
ou l'evenement est constitute par un changement de structure. Ces structures 
cycliques peuvent etre, soit les suites long-court, les suites 
court-court et les variations non normales (oscillations, paliers, etc ...).
  Pour plusieurs etoiles, Menager et moi avons applique deux tests, l'un 
en calculant des matrices theoriques normalisees, et en appliquant a ces 
matrices normalisees |Pk| un test en chi2 des transitions en une epreuve, l'autre
en calculant des matrices [P1]2 et [P1]3, deduites de [P1], malgre la 
difficulte de leur attribuer un intervalle de confiance, et en les 
comparant aux matrices [P2] et [P3].
Les resultats obtenus sont resumes par le tableau suivant:


Variables   m	chi[P2]	  P(chi2>chi02)	chi[P3]	    P(chi2>chi02)	Auteur

SS Aur	    4	11,54	  0,02	                5,19	    0,25	          (7)
Z Cam	    1	 5,30	  0,025			                                Menager
U Gem	    1	10,8	  0,01	                4,7	    0,16	        Petit
VW Hyi	    1	 3,44	  0,07	                3,2	    0,08	        Menager
CN Ori	    1	 4,7	  0,04		                                        Petit


 Dans tous les cas il n'apparait pas que l'on soit devant une chain de 
Markov simple.


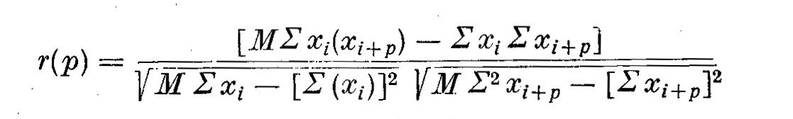
2. La fonction d'autocorrelation

  Il faut remarquer que la suite des intervalles peut etre markovienne 
sans que la suite des maxima le soit. Menager a repris l'analyse, en 
calculant une fonction d'autocorrelation, ou le coefficient 
d'autocorrelation r(p) est defini par:





ou p est l'ordre du maximum suivant, et ou





On a
	




m etant le nombre de termes et N le nombre de couples observes (M = N + p). 
On calcule ensuite lea variances en chaque point par





  Pour SS Aur et pour Z Cam l'autocorrelogramme des intervalles suggere 
une chaine de Markov d'ordre 4 ou plus; pour V W Hyi, la suite des intervalles 
semble suivre un processus markovien simple, tandis que la suite des maxima 
obeit a un processes d'ordre >=4.


3. Calcul du temps de retour

  Le temps de retour est le nombre d'epreuves necessaires pour le retour a 
un etat specifie, c'est a dire le nombre theorique de suites long-non long 
que l'on compare ensuite aux nombres observes.
  Pour Z Cam on observe, par rapport au calcul d'une matrice theorique, 
un deficit de transition pour les suites de maxima courts d'ordre 1, ou d'ordre
>4, et un exces de transition pour les valeurs moyennes.
  On conclut que lea suites de maxima longs suivent un schema conforme 
a celui de la matrice [P1] en une epreuve, tandis que les suites de maxima 
courts se rapprochent du schema d'un tirage exhaustif d'evenements A et B 
absolument aleatoires.


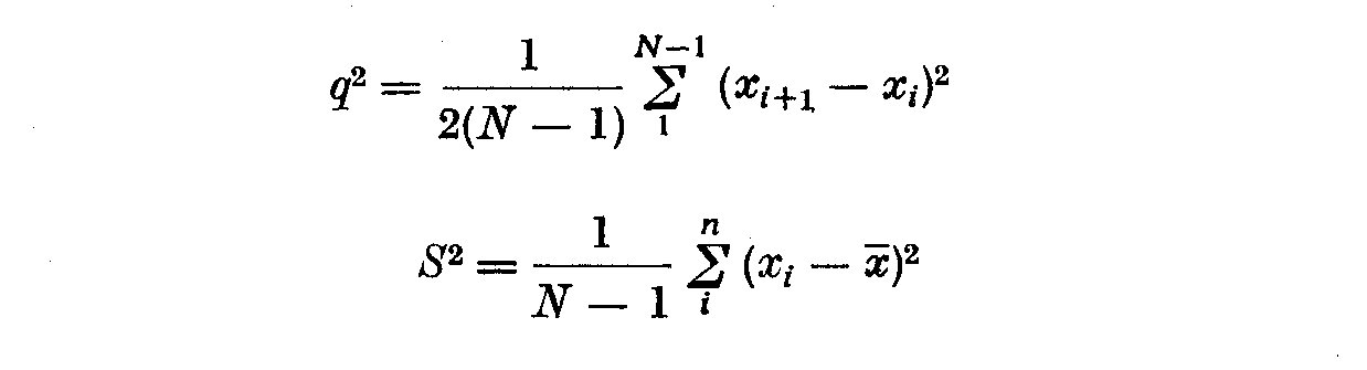
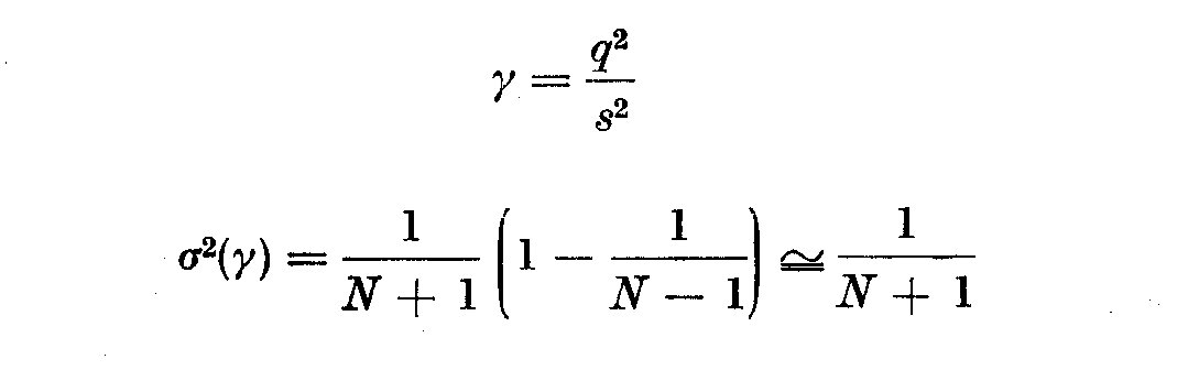
4. Test de recurrence
  
  Cette methode a ete utilisee pour l'analyse des l min. On pose





q2 etant la variance de 2 valeurs successives de la variable x et S2 la 
variance de x. Soit




 
Pour Z Cam on obtient q2 = 25, S2 = 36,2 gamma  = 0,69. Le test de Student 
nous donne:

            t = 1-gamma/sigma gamma = 5.1    p(t>t0)<10^-6

ce qui indique une tendance a la recurrence. Les calculs effectues sur SS Aur 
et U Gem confirment ce phenomene; dans ces deux cas p(t>t0)<10^-5.
  Ainsi notre analyse confirme qu'un schema de chaine markovienne, s'il 
suffit dans certains cas, a l'etude de la succession des intervalles n'explique 
ni la tendance au groupement des maxima faibles ou symetriques, ni l'existence 
de periodes erratiques diverses. Il semble donc preferable d'adopter un 
schema d'evenement recurrent, mais une analyse complete demandera de disposer 
de series de maxima longues et continues et d'une bonne classification 
des phenomenes observes.


                              REFERENCES

Campbell, L., 1933, Ann. Harv. Coll. Obs., 90, No. 3. 
Lortet-Zuckermann, M. C., 1964, Ann. Astrophys. 27, 65. 
Lortet-Zuckermann, M. C., 1966, Ann. Astrophys. 29, 205. 
Martel, L., 1961, Ann. Astrophys. 24, 267. 
Menager, L. et Petit, M., (a paraitre). 
Petit, M. et Menager, L., 1963, Ciel Terre 79, 407. 
Zuckermann, M. C., 1961, Ann. Astrophys. 24, 431.