Non-Periodic Phenomena in Variable Stars
                                           IAU Colloquium, Budapest, 1968


           
                      SYMBIOTIC STARS

                    Introductory Paper by  
         
                      A. A. BOYARCHUK
           Crimean Astrophysical Observatory, USSR


  The term "symbiotic stars" was first introduced by P. W. Merill and now 
is widely used for the designation of astronomical objects, whose 
spectra represent a combination of absorption features of a low 
temperature star with emission lines of high excitation. Several dozens 
of such objects are known today. Bidelman's (1954) list contains 23 
"stars with combination spectra". Mrs. Payne-Gaposchkin (1957) 
attributed 32 objects to symbiotic stars. Most stars are common in both 
lists. Four reviews of symbiotic stars were published for the last 10 
years (Merrill, 1958; Payne-Gaposchkin, 1957; Sahade 1960, 1965) and 
many problems, which have been mentioned, are still very important.
  As far as this Colloquium is concerned with non-periodic phenomena, I 
will concentrate your attention on such phenomena and will touch upon 
other sides of the problem of symbiotic stars only when it is necessary.
  First of all it is necessary to note that the criteria of "symbiotic 
stars" above mentioned are rather rough. Many of long-period variables 
as well as classical symbiotic stars like Z And satisfy such criteria. 
As a result the lists of symbiotic stars given by Bidelman and by Mrs. 
Payne-Gaposchkin are not homogeneous.
  The detailed investigations of the typical symbiotic stars Z And, AC 
Peg, AX Per, CI Cyg and BF Cyg give a possibility to propose the 
following criteria for symbiotic stars. I. The absorption lines of 
late-spectral type (TiO bands, CaI, CaII and al.) must be seen. II. The 
emission lines of HeII, OIII or higher ionized atoms must be seen. The 
widths of emission lines do not exceeded ~ 100 km/sec. III. The stellar 
brightness can vary with an amplitude up to 3 magn. and with a period of 
several years.
  If the informations about a star correspond to the criteria mentioned, 
then the star belongs with high probability to the group of symbiotic 
stars. The list of those stars are found in Table 1. Table 2 lists the 
stars, for which we have not all necessary informations and the known 
data indicate only that they may be symbiotic stars.

 
                          LIGHT VARIATIONS

  The irregular variations of brightness is one of the most characteristic 
features of symbiotic stars. Their light curves can be considered as a 
whole complex of small simultaneous flares. This circumstance has given 
a possibility to name these stars as "novalike stars".

                                                        Table 1

 N	Name	 R. A. 1900	Dec. 1900	m_max	m_min	S_p	em	V_r	P_rv	 P_m	Ref.

 1	 2	     3	            4	          5	  6	 7	 8	 9	 10	  11	 12

 1	AX Per	 01h 29m 57s 	+53deg 44.9'	9.7m	13.4m	M5III	[FeVII]	-110		 630d	Boyarchuk, 1988
 2	VV 8	 01  52  13	+52    24.8	        14.3	G5III	[OIII]	  -6			O'Dell, 1966
 3	RX Pup	 08  10  42	-41    24.0    11.1	14.1	M5III	[FeVII]				Swings and Struve
	 										                  1941.
 4	SY Mus	 11  27  36	-64    52.0    11.3	12.3	M3III	[OIII]			 623	Henize, 1952
 5	RW Hya	 13  28  47	-24    52.1    10.0	11.2	M2III	[OIII]	 +10	370d	 370	Merrill, 1950a
 6	AG Dra	 16  01  07	+67    04.7	9.1	11.2	K3III	HeII	-140			Boyarchuk, 1966
 7	HZ 177	 16  39  34	-62    25.4		13.1	M	[OIII]				Webster, 1966
 8	YY Her	 18  10  18	+20    57.4    11.7    >13.2	M2III	[OIII]				Herbig, 1950
 9	AR Pav	 18  10  20	-66    07.0    10.2	12.7	M	[OIII]	 -50		 605	Sahade 1949
10	FR Set	 18  17  46	-12    44.0    11.7	12.5	M2III	[OIII]				Bidelman, Stephenson,
                                                                                                          1956											             
11	V443 Her 18  19  00	+23    24.0    12.4	12.6	M3III	[OIII]	 -55			Tift, Greenstein,
											                  1958
12	FN Sgr	 18  48  01	-19    07.1	9	13.9	Pec.	[OIII]	 -51			Herbig, 1950
13	CM Aql	 18  58  22	-03    12.2    13.2	16.5	M4III	HeII				Herbig, 1960
14	BF Cyg	 19  19  57	+29    28.8	9.3	13.5	M5III	[OIII]	  +5	750d		Boyarchuk, 1968a
15	My 129	 19  33  18	-69    22.3			M3	[OIII]				Thackeray, 1954
16	CI Cyg	 19  46  30	+35    25.9	9.4	13.7	M5III	[FeVII]	 +15			Boyarchuk, 1968a
17	V407 Cyg 20  58  41	+45    22.8    13.3    >16.5	Mep					Merrill, Burwell
											                  1950
18      MHalpha  19  55  12	+39    33.0    10      >15.5	M3III	[OIII]	 -58			Boyarchuk, 1968b
        328-116
19	AG Peg	 21  46  11	+12    09.5	6.8	 8.2	M3III	[OIII]	 -16	800d	 800d	Boyarchuk, 1967a
20      Z And	 23  28  51	+48    16.0	8.0	12.4	M2III	[FeVII]	  -5		 714d	Boyarchuk, 1967b
21      R Aqr	 23  38  39	-15    50.3	5.8	11.5	M7e	[OIII]	 +15	26y, 3y	 387d	Merrill, 1950b
						
                                                        Table 2

 N	Name	          R. A. 1900	Dec. 1900	m_max	m_min	S_p	em.	V_r	  Ref.

 1	 2	              3	            4	         5	 6	 7	 8	 9	   10


 1	HD 4174	          00^h41^m54^s	 40deg 24.0'	7.5m		M2III	[OIII]	-101	Wilson, 1950
 2	DV Aur	          05  15  18	+32    24.7	8.2	10.0	C5	[OIII]		Sanford, 1944
 3	Hz 134	          15  41  04	-66    18.5		15		[OIII]		Webster, 1966
 4	HD 330 036	  15  47  15	-48    42	11.7			[OIII]		Webster, 1966
 5	Hz172	          16  29  45	-55    38		12.9		[OIII]		Webster, 1966
 6	MH_alpha 276-52	  16  45  06	-25    49	11.5			[FeVII]		Merrill, Burwell, 1950
 7	HK Sco  	  16  48  17	-30    13.7	13.1	15.8	Pec.	HeII		Elvey, 1941
 8	V 455 Sco	  17  00  47	-33    57.9	12.8   >16.5	Com.	H		Merrill, Burwell, 1950
 9	MH_alpha 276-12	  17  05  42	-32    28		17		[FeVII]		Merrill, Burwell, 1950
10	MH_alpha 79-52	  17  37  24	-22    43	12			[FeVII]		Merrill, Burwell, 1950
11	MH_alpha 359-110  17  45  00	-22    17	11			[FeVII]		Merrill, Burwell, 1950
12	KW Sco	          17  45  42	-27    59.8	11.0	13.2	Mp			Swope, 1940
13	F 6-7	          17  59  36	-20    21	11		M3	H		Merrill, Burwell, 1950
14	Y CrA	          18  07  12	-42    52.3	12.0	12.9	Pec.			Bidelman, 1954
15	MH_alpha 305-6	  18  59  18	+16    18	11.5			[FeVII]		Merrill, Burwell, 1950
16	MH_alpha 80-5	  19  41  24	+18    22	11		Com.	H		Merrill, Burwell, 1950
									

  It is necessary to mention that different stars have rather different 
light curves. Moreover, the character of the light curve of the same 
star varies strongly from time to time. Many astronomers have observed 
light variations of symbiotic stars for many years. Now we shall briefly 
consider the results of the observations of several symbiotic stars.
  Fig. 1 shows the light curve of Z And. The papers by Prager (1941), 
Payne-Gaposchkin (1964), Erleksova (1964), Beljakina (1968), were used 
for the construction of the curve.
  The light variations of Z And have a rather complicated character. There 
are periods, when the stellar brightness changes very little, for 
instance in 1905-1913. On the other hand the star flared up to 4^m in 
1914 and 1939. Quite a few flares with smaller amplitude were observed 
in other years. In 1920-1931 the light variations had a quasi-periodic 
character. According to photoelectric observation (Belyakina, 1968) the 
light variations were very complicated after 1960. Mrs. Payne-Gaposchkin 
(1945) found light maxima following one after another in 714 days. But 
departures from the average period can reach hundred days in several 
cases. On the whole one can say that non-periodic processes play a very 
important role in the case of Z And.
  Fig. 2 shows the light curve of BF Cyg, which was constructed on the 
basis of the papers by Jacchia (1941), Aller (1954), Wachmann (1961) and 
Romano (1966). We can see that the light curve of BF Cyg is similar to 
that of Z And. Here we also have periods for small variations, for 
instance for 1929-1931. A rather large flare was observed in 1955. The 
quasi-periodic variations of the brightness of BF Cyg are smaller than 
those of Z And, the non-periodic part is very important here.




                              Fig. 1




                              Fig. 2


  Fig. 3 shows the light curve of CI Cyg, which was constructed on the 
basis of papers by Greenstein (1937), Aller (1954) and Hoffleit (1968). 
The brightness of the star varied generally with small amplitude. Rather 
large flares were observed only twice, in 1911 and in 1958. Mrs. Hoffleit 
has found that quasi-periodic variations have a period of 815^d. 
We can see the form of those variations in Fig. 4, which was adopted 
from Hoffleit's paper (1968). The scattering on that figure is large. It 
means that non-periodic variations are important.
  Fig. 5 shows the light curve of AX Per, which was constructed on the 
basis of papers by Lindsay (1932), Payne-Gaposchkin (1946), Wenzel (1956), 
Sieder (1956) and Romano (1960). On the whole the light variations of AX Per 
are similar to those of Z And.
  The light variations of AG Peg have different character. Fig. 6 shows 
the light curve of AG Peg from 1825 on. The symbols are as follow 
filled circle-m_vis, X-m_ph, triangle-u, square-B, circle-V. 
The original data were published by Lundmark (1921), Himpel (1942), 
Sandig (1950), Payne-Gaposchkin (1950), Mayall (1964) and Belyakina (1965).
  In general terms the light curve of AG Peg resembles that of a slow 
developed flare. Using more detailed observations in the last years 
(Mayall, 1964, Belyakina, 1965) Miss Belyakina discovered the periodical 
variation of brightness with P = 800^d and Delta m ~ 0.3m. This is easy to see 
in Fig. 7. The symbols are: circle-visual, filled circle-photoelectric V.
  Special photoelectric observations of the light variation of symbiotic 
stars (Belyakina 1965, 1967) have shown, that many of them show rapid light
variations with small amplitudes and such variations have a non-periodic 
character. Some examples are shown in Fig. 8 (Z And) and in Fig. 9 (AG Dra). 
In these figures the dots correspond to brightness differences between the 
symbiotic star and the comparison stars, and the crosses correspond to those 
between two standard stars. The largest short-time variations have been 
observed in the ultraviolet.




                              Fig. 3




                              Fig. 4




                              Fig. 5


  Thus the available observations show that non-periodic processes play a 
very important role in the light variation of symbiotic stars.
  The brightness variations of symbiotic stars are accompanied by color 
variations. As it was noted by Jacchia (1941), Himpel (1941), Payne-Gaposchkin 
(1946) and al., the value m_ph-m_v increases with decreasing brightness, 
i.e. star becomes redder. Belyakina's photoelectric observations confirm this 
statement, moreover, she has shown, that the U-B color decreases with 
decreasing stellar brightness, i.e. the ultraviolet excess increases.




                               Fig. 6




                               Fig. 7




                               Fig. 8




                               Fig. 9



                          SPECTRAL VARIATIONS

  The character of spectra of symbiotic stars also changes together with 
the light variations. Already in 1934 Hogg (1934) noted that features of 
a late type spectrum strengthened when the brightness of Z And decreased. 
At the same time the excitation degree of the emission spectrum increased.
  Later similar changes of the spectrum were found for other symbiotic 
stars.
  Fig. 10 shows the intensity tracing of spectra of AX Per taken in 1964, 
at m_ph = 13.5m, and in 1965, at m_ph = 12.8m. We can see that the intensities 
of the [FeVII] and He II lines appreciably decreased in comparison with those 
of hydrogen when the stellar brightness increased by 1 mag. At the same time 
the intensity of the TiO bands strongly decreased.
  Swings and Struve (1941a) have recognized that during the large flare of 
Z And in 1939 its spectrum underwent great changes. Late-type absorption
features as well as highly excited emission lines disappeared 
completely. But absorption lines usually observed in the spectra of 
A0-A2 type stars were seen in the spectra of Z And. The hydrogen and 
neutral helium emission lines had absorption companions. At that time 
the spectrum of Z And was very similar to that of P Cyg type stars. 
According to Miss Bloch (1964) such changes were also observed during 
the large flare in 1961. Similar changes took place in the spectrum of 
AX Per during a flare in 1955 (Gauzit 1955). Unfortunately, the number 
of spectral observations of symbiotic stars is much less than those of 
the brightness, and we can only suppose that during large flares of 
other symbiotic stars similar changes took place in the spectra.




                               Fig. 10


  The energy distribution in the continuous spectra of symbiotic stars 
has been investigated by many authors (Tcheng Mao Lin, Bloch 1952, 1954, 
Ivanova 1960, Boyarchuk 1967 and al.). The results of these investigations 
are in good agreement with those of color variation. In Fig. 11 the solid 
lines represent the observed energy distribution in the spectrum of Z And for 
different data. It is seen that the energy distribution becomes steeper and 
the Balmer jump increases when the star becomes fainter.
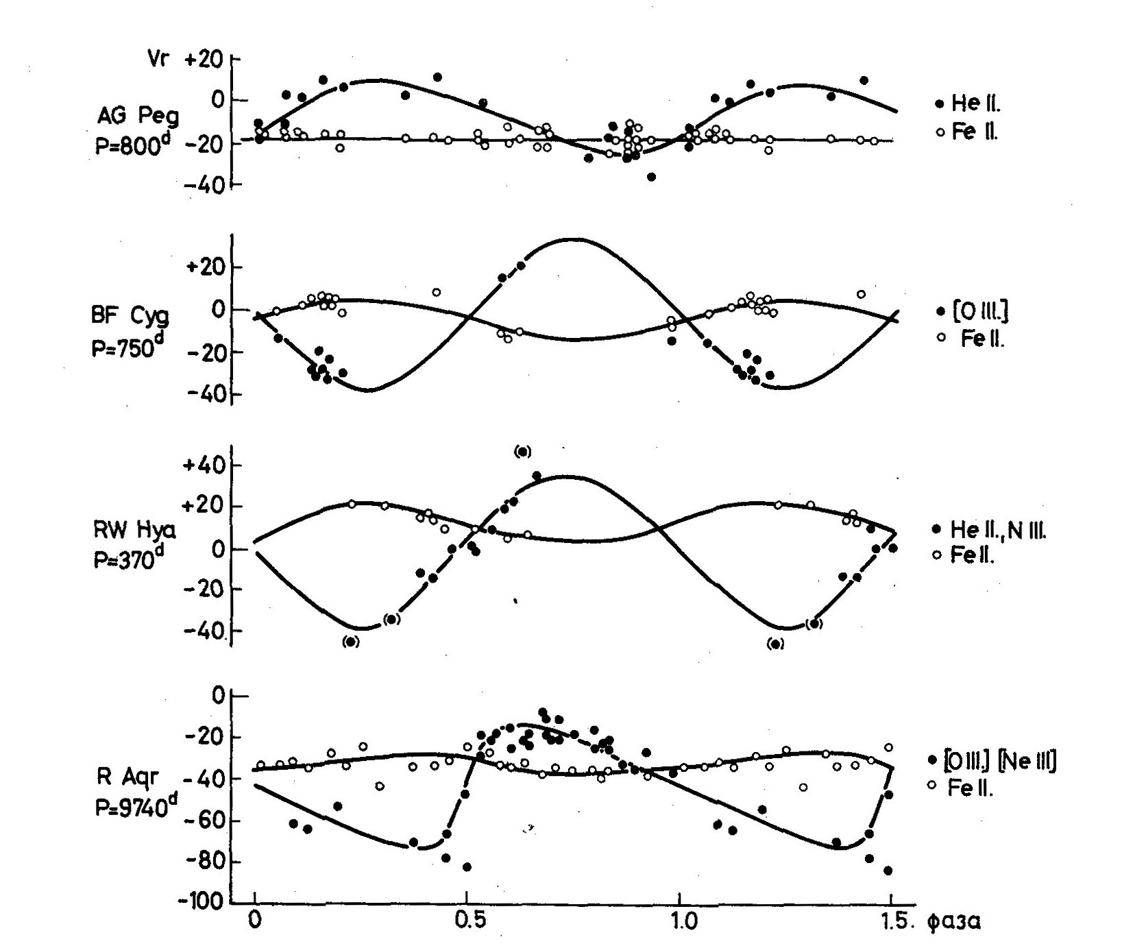
  The displacement of different lines, or the radial velocities can give 
important informations about the processes in symbiotic stars. At present a 
rather large number of measurements of radial velocities for five stars: 
AG Peg, BF Cyg, Z And, RW Hya and R Aqr have been published mainly by Merrill 
and by Swings and Struve (1941-1943). The variations of radial velocities have 
periodic character for four stars: AG Peg, BF Cyg, RW Hya and R Aqr. 
The velocity curves of the stars mentioned are represented in Fig. 12. This 
figure brings into evidence the binary nature of symbiotic stars. It should 
be noted that AG Peg shows progressive changes of radial velocity as well as 
periodic variations. Table 3, which was compiled by using Merrill's data (1929,
1942, 1951a, b, 1959) contains data about the average velocities 
determined from the displacements of different lines. Boyarchuk (1967) 
has explained this phenomenon by the decreasing opacity of an envelope 
and by the changing excitation conditions.




                             Fig. 11


  The influence of a change of the excitation conditions on radial 
velocities can especially be seen for Z And, Fig. 13 represents variations of 
radial velocities determined from the ionized metal lines, A, and from the lines 
of highly ionized elements, B. The symbol circle means that the star 
had m_ph < 9m, X that 10m > m_ph > 9m and filled circle that m_ph > 10m. 
The scattering is very large and is connected with change of stellar 
brightness. Fig. 14 represents the dependence of the value of radial 
velocity upon the magnitude of the star for phases 300d-400d.


                             Table 3.

                           V_r km/sec

Element	          1915	  1926	 1939	1946	1952

H	           +16	   +12	   -4	  -8	-27
HeI		            +6	   +1     -8	
NII			    +6    -12	 -20	
HeII			          -13	  -6	
NIII			          (-8)	 -20	
OIII5007\				 -17
    4959/					
OIII 4363				 -55	
FeII, TiII, SiII	   -22	  -14	 -18	


                             Table 4

                       1960	1962	 1963	  1964	   1964	    1965
	              October	July    Sept.  Sept.-Oct. December October

	  Z And	      11.65    10.75    10.55    11.00    10.65    11.70
	  M2III	      12.11    11.98    11.49    12.20	  10.74	   12.17
m_ph	  Nebula      14.00    13.25    12.90    12.86	  12.78	   13.68
	  Hot Comp.   13.29    11.34    11.37    11.77	  11.47	   13.50

	T*10^-3 K    108       70	79	 96	  88	  141
Hot Comp. M_v	       2.82	1.07	 1.57	  1.32	   1.55	    3.05
	  R/R_Hel      0.30	0.70	 0.55	  0.60	   0.54	    0.26

	  lg n_e			 7.1	  7.3	   7.5	
Nebula	  M*10^-29 g   0.6	1.2	 1.0	  2.1	   1.3	    0.9
	  R*10^-15 cm  0.8	0.9	 0.9	  1.1	   1.0	    0.9
							
  



                             Fig. 12




                             Fig. 13




                             Fig. 14


  The symbol o corresponds to FeII lines, the symbol x to hydrogen lines. 
Thus, in the case of Z And, the radial velocity variations reflect the
variations of excitation conditions in a higher degree than an orbital motion.
  Summing up the review of basic data about the variation of symbiotic
star characteristics, the conclusion should be drawn that non-periodic processes
take a very important place. Naturally the question arises which physical
process is responsible for these variations and what is its nature. Some 
information about it can be obtained from an investigation of the continuous
spectra of symbiotic stars.
  We will suppose that the continuous spectrum is formed by three sources 
of energy (Boyarchuk 1967) I) an M-type giant, II) a hot component with 
T ~ 10^5 K, III) a nebula with T_e ~ 17 000 K and n_e ~> 10^6 cm^-3. 
The contributions of the three hypothetical sources of energy to the 
combined spectrum of Z And are shown in Fig. 11 by the symbol o. The 
agreement between the observed and theoretical distributions is quite 
satisfactory. This comparison gives us a possibility to determine the 
part of radiation contributed by each sources at any wave length for 
different times. 
  These results together with the light curve of Z And give us a possibility 
in turn to determine the brightness variation of each component. Table 4 
contains some results. One can see that the brightness variations of the cool 
component were negligible. On the contrary, the brightness variations of the 
hot component were very large. They cause the brightness variations of Z And 
on the whole. The temperature of the hot component which was determined 
by Zanstra's modified method (Boyarchuk 1967b) changed significantly. 
The temperature increased simultaneously with the increase of m_ph. 
Such behaviour of the hot component is in good agreement with the observed 
variations of the spectral and color characteristics of symbiotic stars. As it 
follows from the calculations, the variations of the visible magnitude 
of the hot component and of its temperature occur in such a way that the 
bolometric luminosity does not change significantly. There are at least 
two possibilities for the origin of such variations. First, the hot 
component is affected by a pulsation. Second, an optically thick 
envelope surrounding the hot component is formed as a result of mass 
outflow from the cool component. We need further investigations for the 
solution of this problem.
  If we suppose that the cool components of symbiotic stars are normal 
giants, then their hot components are located below the main sequence as 
it can be seen from Fig. 15. The central stars of planetary nebulae, hot 
components of SS Cyg-type stars, novae a.o. are located near this place 
too. Perhaps the nonstability of all these objects has a common nature.
  In conclusion we briefly consider the hypotheses for the nature of the 
symbiotic stars. All hypotheses can be divided into three groups.
  I. The symbiotic stars consist of a hot star surrounded by an optical 
envelope. The cool absorption spectrum is formed in the outer part of 
the envelope and the hot emission spectrum is formed in the inner part 
of the envelope. This hypothesis was suggested by Sobolev (1945), Menzel 
(1946) and Aller (1953). But many observations do not agree with this 
hypothesis. For instance, the theory predicts that the relative 
intensity of emission lines must have such disturbances as that in 
the spectra of longperiod variables. But the observations have not 
detected them.




                               Fig. 15




                               Fig. 16


  II. A symbiotic star is a cool star with very extended dense corona 
(Aller 1953, Gauzit 1955). Then the main difficulty is in the heating 
problem. It is impossible to get such a large flux of mechanical energy 
without heating the whole stellar photosphere.
  III. The simplest hypothesis is that we are concerned with a binary, one 
of the components is a late-type giant and the other one is a hot small 
star being the source of the excitation of a nebula surrounding both 
components. The hypothesis was first suggested by Hogg (1943) and then 
by Swings and Struve (1941), Aller (1954), Sahade (1960) a.o.
  The binary nature of symbiotic stars is confirmed by radial velocity 
variations (see Fig. 12) and the light curve of AG Peg. All basic results of 
observations can be explained from the point of view of binary hypothesis.
  The quantitative investigations of symbiotic stars (Boyarchuk 1966, 
1967) renders it possible to construct a rough hypothetical model of 
symbiotic stars (see Fig 16). Of course, we need much more observations 
and theoretical investigations to improve this model.


                              REFERENCES

Aller, L. H., 1954a, Astrophysics. New York.
Aller, L. H., 1954b, Publ. Dom. astrophys. Obs. 9., 321. 
Belyakina, T. S., 1965, Izv. Krym. astrofiz. Obs. 33, 226. 
Belyakina, T. S., 1966, Astrophys., 2, 115. 
Belyakina, T. S., 1967, Izv. Krym astrofiz. Obs. 38, 171. 
Belyakina, T. S., 1968, Astr. Zu. 45. 
Bidelman, W. P., 1954, Astrophys. J. Suppl. 1, No. 7.
Bidelman, W. P., Stephenson, Ch. B., 1956, Publ. astr. Soc. Pacific 68, 152.
Bloch, M., 1964, Ann. Astrophys. 27, 292.
Boyarchuk, A. A., 1966, Astr. Zu. 43, 976. 
Boyarchuk, A. A., 1967a, Astr. Zu. 44, 12.
Boyarchuk, A. A., 1967b, Astrophys. 3, 203.
Boyarchuk, A. A., 1967c, Astr. Zu. 44, 1016.
Boyarchuk, A. A., 1967d, Izv. Krym. astrofiz. Obs. 38, 155. 
Boyarchuk, A. A., 1968a, Izv. Krym. astrofiz. Obs. 39, (in press). 
Boyarchuk, A. A., 1968b, Astrophys. 4, (in press).
Elvey, C. T., 1941, Astrophys. J. 94, 140.
Erleksova, G. E., 1964, Bull. astrophys. Inst. of Acad. of Science of Tad. SSR, 37, 43.
Gauzit, J., 1955, Ann. Astrophys. 18, 354.
Greenstein, N. K., 1937, Harv. Obs. Bull. No. 906.		
Henize, K. G., 1952, Astrophys. J. 115, 133.		
Herbig, G. H., 1950, Publ. astr. Soc. Pacific, 62, 211.		
Herbig, G. H., 1960, Astrophys. J. 131, 632.		
Himpel, K., 1940, Astr. Nachr. 270, 184.		
Himpel, K., 1942, Beob. Zirk. 24, 53.		
Hoffleit, D., 1968, Irish. Astr. J. 8. 149.		
Hogg, F. S., 1934, PAAS, 8, 14.		
Ivanova, N. L., 1960, Soobsc. Byurak. Obs. 28, 17.		
Jacchia, L., 1941, Harv. Obs. Bull. No. 912.		
Lindsay, E. M., 1932, Harv. Obs. Bull. No. 888, 22.		
Lundmark, K., 1921, Astr. Nachr. 113, 94.		
Mayall, M., 1963, Quart, Bull. A. A. V. S. O. 20, 21, 23, 25.
Menzel, D., 1946, Physics, 12, 768.		
Merrill, P. W., 1929, Astrophys. J. 69, 330.		
Merrill, P. W., 1942, Astrophys. J. 95, 386.		
Merrill, P. W., 1950a, Astrophys. J. 111, 484.
Merrill, P. W., 1950b, Astrophys. J. 112, 514. 
Merrill, P. W., 1951a, Astrophys. J. 113, 605. 
Merrill, P. W., 1951b, Astrophys. J. 114, 338.
Merrill, P. W., 1958, Etoiles a raies d'emission, Universite de Liege, p. 436. 
Merrill, P. W., 1959, Astrophys. J. 129, 44. 
O'Dell, C. R., 1966, Astrophys. J. 145, 487. 
Payne-Gaposchkin, C., 1946, Astrophys. J. 104, 362. 
Payne-Gaposchkin, C., 1950, Astrophys. J. 115.
Payne-Gaposchkin, C., 1957, The Galactic Novae, Amsterdam North-Holland Pub. Co. 
Prager, R., 1941, Pop. Astr. 45, 445.
Romano, G., 1960, Publ. Osser. astr. Padova, 119. 
Romano, G., 1966, Mem. Soc. astr. Ital. 37, N3. 
Sahade, G., 1949, Astrophys. J. 109, 541.
Sahade, G., 1960, Stellar Atmospheres, J. L. Greenstein ed., Chicago p. 494. 
Sahade, G., 1965, 3rd Colloquium on Variable Stars, Bamberg, p. 140. 
Sandig, H. U., 1950, Astr. Nachr. 278, 187. 
Sanford, R. F., 1944, Publ. astr. Soc. Pacific. 56, 122. 
Sieder, Th., 1956, Mitt. veranderl. Sterne 238. 
Sobolev, V. V., 1947, Moving Envelopes of Stars, Leningrad. 
Sobolev, V. V., 1940, Astrophys. J. 91, 601. 
Swings, P., Struve, O., 1941a, Astrophys. J. 93, 356. 
Swings, P., Struve, O., 1941b, Astrophys. J. 94, 291. 
Swings, P., Struve, O., 1942a, Astrophys. J. 95, 152. 
Swings, P., Struve, O., 1942b, Astrophys. J. 96, 254. 
Swings, P., Struve, O., 1943a, Astrophys. J. 97, 194. 
Swings, P., Struve, O., 1943b, Astrophys. J. 98, 91. 
Swope, H. H., 1940, Harv. Obs. Ann. 109, No. 1. 
Tcheng Mao Lin, Bloch, M., 1952, Ann. Astrophys. 15, 104. 
Tcheng Mao Lin, Bloch, M., 1954, Ann. Astrophys. 17, 6. 
Thackeray, A. D., 1954, Observatory, 74, 257. 
Tift, W. G. Greenstein, J. L., 1958, Astrophys. J. 127, 160. 
Wachmann, A. A., 1961. Astr. Abhand. Hamburger Sternw. 4, No. 1. 
Webster, L. B. 1966, Publ. astr. Soc. Pacific. 78, 136. 
Wenzel, W., 1956. Mitt. Veranderl, Sterne 227. 
Wilson, R. E. 1950. Publ. astr. Soc. Pacific 62, 14.